Задать свой вопрос   *более 50 000 пользователей получили ответ на «Решим всё»

Задача 30745 Нужно очень подробное решение. С...

Условие

Нужно очень подробное решение. С формулами и пояснениями

математика ВУЗ 899

Решение

1а)
Формула
производная произведения
(u*v)`=u`*v+u*v`
y`=(x^2*lnx)=(x^2)`*lnx+(x^2)*(lnx)`=
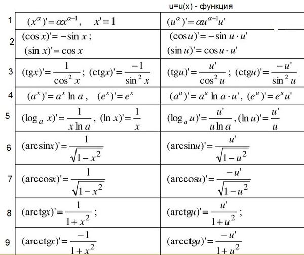
формулы из таблицы производных (см.формулу номер 1 и формулу номер 5, левый столбец)
=2x*lnx+(x^2)*(1/x)=2x*lnx+x;
О т в е т. y`=2x*lnx+x.

1б)
Производная сложной функции . ( см. формулу номер 8, правый столбец)
u=e^(x)

y`=(e^x)`/(1+(e^(x))^2) = так как (e^(x))`=e^(x) ( см. формулу номер 4 левый столбец)

О т в е т. y`=(e^x)/(1+e^(2x))

в)
Производная сложной функции ( см. формулу 1, правый столбец)
u=sin((1-x)/(1+x))

y`=(u^2)`=2u*u`= 2*sin((1-x)/(1+x)) * (sin((1-x)/(1+x)))`=

(cм. формулу номер 2, правый столбец) теперь u=(1-x)/(1+x)

= 2*sin((1-x)/(1+x)) * (cos((1-x)/(1+x)))* ((1-x)/(1+x))`=

применяем правило производная частного:
(f(x)/g(x))`= (f`(x)*g`(x)-f(x)*g`(x))/g^2(x)

= 2*sin((1-x)/(1+x)) * (cos((1-x)/(1+x)))* ((1-x)`(1+x)-(1-x)*(1+x)`/(1+x)^2)=

=2*sin((1-x)/(1+x)) * (cos((1-x)/(1+x)))* (-(1+x)-(1-x))/(1+x)^2)=

по формуле синуса двойного угла
=sin(2*(1-x)/(1+x)) * (-2/(1+х)^2)

О т в е т. (-2/(1+х)^2)* sin ((2-2x)/(1+x))

Написать комментарий

Меню

Присоединяйся в ВК