Задать свой вопрос   *более 50 000 пользователей получили ответ на «Решим всё»

Задача 30630 ...

Условие

Определить расстояние от точки D от плоскости треугольника ABC провести плоскость параллельную плоскости ABC и отстоящую от нее на расстояние 35 мм.из вершини B провести плоскость ⊥ сторон AC

начерт ВУЗ 1562

Все решения

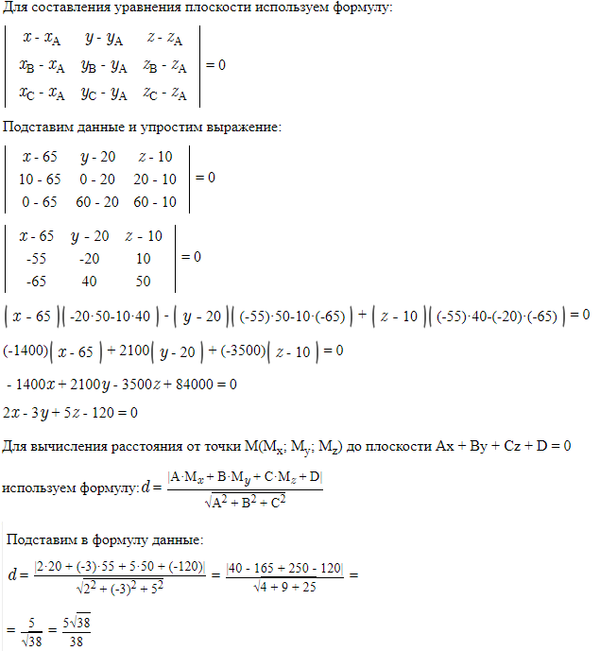
Уравнение, параллельной данной, отличается «свободным членом» (в уравнении плоскости АВС он равен -120) см приложение
2x-3y+5z-q=0
Найдем расстояние от точки А до этой плоскости. Оно должно равняться 3,5
|2*65-3*20+5*10-q|=3,5sqrt(38) ⇒ |120-q|=3,5sqrt(38)
отсюда находим q=120-3,5*sqrt(38)
Уравнение плоскости, параллельной плоскости АВС и отстоящей на расстоянии 3,5 см=35 мм
2x-3y+5z-120+3,5sqrt(38)=0

Написать комментарий

Меню

Присоединяйся в ВК