Задать свой вопрос
*более 50 000 пользователей получили ответ на «Решим всё»
Задача 30629
...
Условие
vk344135258
2018-10-29 18:50:48
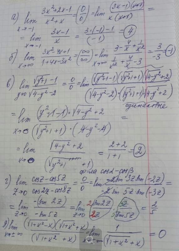
lim(x → -1) (3x^2+2x-1)/(x^2+x)
математика 10-11 класс
864
Решение
sova
2018-10-29 19:05:27
★
Написать комментарий
Меню
Решим всё
Найти задачу
Категории
Статьи
Тесты
Архив задач
Присоединяйся в ВК