Задать свой вопрос   *более 50 000 пользователей получили ответ на «Решим всё»

Задача 30595 ...

Условие

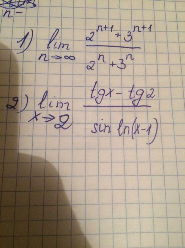
Вычислить пределы

lim(n → ∞ ) (2^(n+1)+3^(n+1))/(2^(n)+3^(n))

lim(x → 2 ) (tgx-tg2) / (sin ln(x-1))

математика ВУЗ 2783

Решение

1) = (∞ / ∞ ) неопределенность, устраняем.
Делим на 3^(n+1)

=lim_(n→∞)((2/3)^(n+1) +1)/((1/3)*(2/3)^(n)+(1/3))=(0+1)/(0+(1/3)=1/(1/3)=3

(2/3)^(n+1)→0 и (2/3)^(n)→0 ( показательная функция c основанием (2/3) убывает)

2)
x→2 ⇒ x-2 → 0

Замена

x-2=t
x=(t+2)

=lim_(t→0)(tg(t+2)-tg2)/sin(ln(t+1))= применяем формулу разности тангенсов=
=lim_(t→0)sin(t+2-2)/(cos(t+2)*cost)*sin(ln(t+1)))=

=(1/cos2)*lim_(t→0)sint/sin(ln(t+1))=1/cos2

так как
(lim_(t→0)(sint/t))*(lim_(t→0)(t/sin(ln(t+1))=

=1*(lim_(t→0)(t/sin(ln(t+1))=(lim_(t→0)(t/ln(t+1))*(lim_(t→0)ln(t+1)/sin(ln(t+1))=1*1

(lim_(t→0) cos(t+2)=cos2

(lim_(t→0)cost)=cos0=1

Вопросы к решению (1)

Написать комментарий

Меню

Присоединяйся в ВК