Задать свой вопрос
*более 50 000 пользователей получили ответ на «Решим всё»
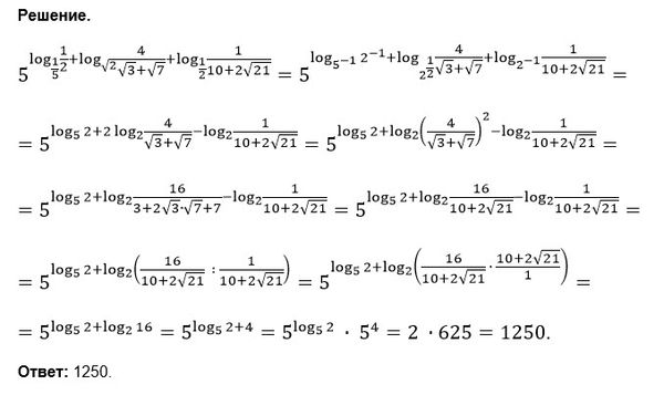
Задача 30554
Помогите решить срочно пожалуйста буду...
Условие
89648013987
2018-10-26 15:37:57
Помогите решить срочно пожалуйста буду очень благодарна
математика 10-11 класс
646
Решение
u821511235
2018-10-26 15:57:42
★
Написать комментарий
Меню
Решим всё
Найти задачу
Категории
Статьи
Тесты
Архив задач
Присоединяйся в ВК