Задать свой вопрос
*более 50 000 пользователей получили ответ на «Решим всё»
Задача 30552
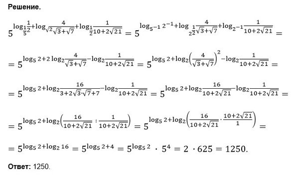
5^(log(1/5)1/2+log(sqrt(2)) ... ) ......
Условие
89501103484
2018-10-26 14:41:55
5^(log(1/5)1/2+log(sqrt(2)) ... ) ...
математика 10-11 класс
1126
Все решения
u821511235
2018-10-26 15:57:28
Написать комментарий
Меню
Решим всё
Найти задачу
Категории
Статьи
Тесты
Архив задач
Присоединяйся в ВК