Задать свой вопрос   *более 50 000 пользователей получили ответ на «Решим всё»

Задача 3050 Сплошной парафиновый шар (e=2) радиуса...

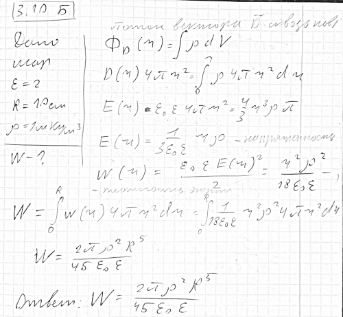
Условие

Сплошной парафиновый шар (e=2) радиуса R=10 см заряжен равномерно по объему с объемной плотностью заряда p=1 мКл/м^3. Определить энергию электрического поля, сосредоточенную в самом шаре.

физика ВУЗ 4873

Решение



Ответ: 7.9*10^(-14) Дж

Написать комментарий

Меню

Присоединяйся в ВК