Задать свой вопрос   *более 50 000 пользователей получили ответ на «Решим всё»

Задача 3049 На сколько изменится емкость...

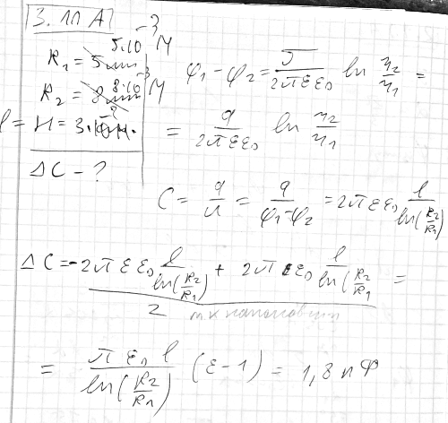
Условие

На сколько изменится емкость цилиндрического конденсатора с параметрами R1=5 мм, R2=8 мм, H=3 см, если пространство между цилиндрами наполовину заполнено парафином, диэлектрическая проницаемость которого e=2

физика ВУЗ 2932

Решение



Ответ: 1.8 пФ

Написать комментарий

Меню

Присоединяйся в ВК