Задать свой вопрос   *более 50 000 пользователей получили ответ на «Решим всё»

Задача 3048 Плоская бесконечно протяженная...

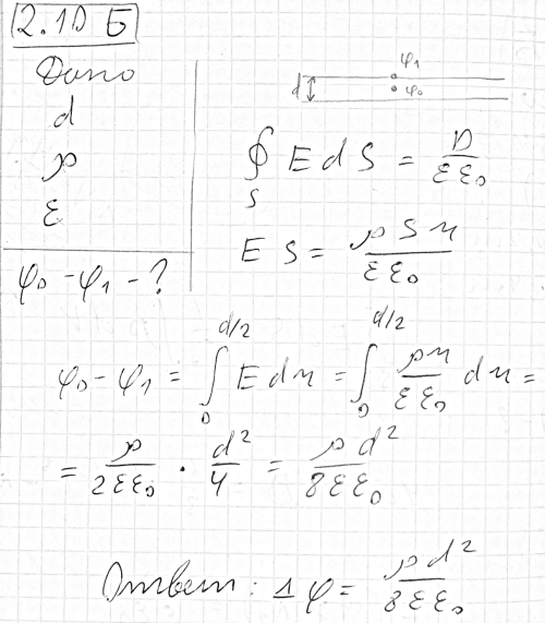
Условие

Плоская бесконечно протяженная стеклянная пластинка толщиной d равномерно заряжена с объемной плотностью заряда p. Найти разность потенциалов между точкой, лежащей в середине пластинки, и точкой на поверхности пластинки. Диэлектрическая проницаемость стекла e.

физика ВУЗ 4530

Решение



Ответ: pd^2/8ee0

Написать комментарий

Меню

Присоединяйся в ВК