Задать свой вопрос
*более 50 000 пользователей получили ответ на «Решим всё»
Задача 30475
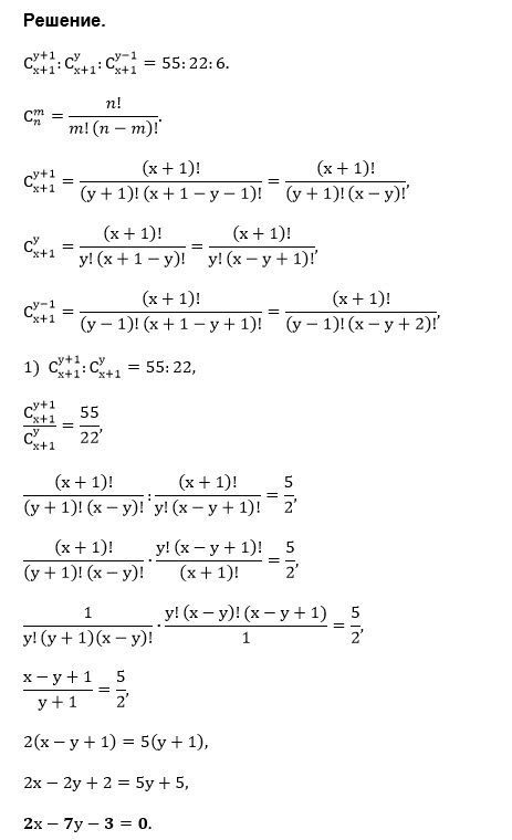
Из данной пропорции найти х и у...
Условие
helpmat
2018-10-23 22:59:40
Из данной пропорции найти х и у
математика 10-11 класс
1655
Все решения
u821511235
2018-10-24 11:21:25
Написать комментарий
Меню
Решим всё
Найти задачу
Категории
Статьи
Тесты
Архив задач
Присоединяйся в ВК