Задать свой вопрос
*более 50 000 пользователей получили ответ на «Решим всё»
Задача 30430
Помогите решить срочно подробное решение...
Условие
89501103484
2018-10-22 12:24:28
Помогите решить срочно подробное решение , заранее спасибо
математика 10-11 класс
733
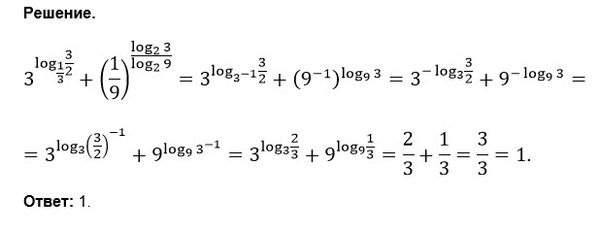
Решение
u821511235
2018-10-22 15:46:16
★
Написать комментарий
Меню
Решим всё
Найти задачу
Категории
Статьи
Тесты
Архив задач
Присоединяйся в ВК