Задать свой вопрос   *более 50 000 пользователей получили ответ на «Решим всё»

Задача 30140 Вычислить площадь параллелограмма...

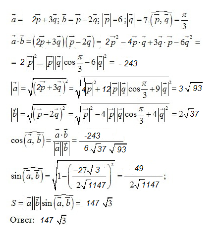
Условие

Вычислить площадь параллелограмма построенного на векторах а и в
а=2p+3q
b=p-2q
|p|=6 |q|=7
Угол фи равен п/3

математика ВУЗ 11987

Все решения

Написать комментарий

Меню

Присоединяйся в ВК