Задать свой вопрос
*более 50 000 пользователей получили ответ на «Решим всё»
Задача 30047
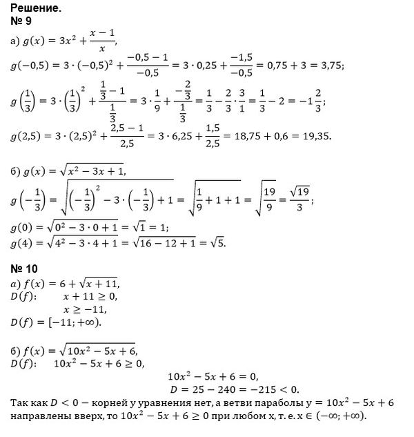
9. под а и б 10. под а и б...
Условие
vk320389519
2018-10-08 07:53:11
9. под а и б
10. под а и б
математика 8-9 класс
542
Решение
u821511235
2018-10-08 10:33:52
★
Написать комментарий
Меню
Решим всё
Найти задачу
Категории
Статьи
Тесты
Архив задач
Присоединяйся в ВК