Задать свой вопрос   *более 50 000 пользователей получили ответ на «Решим всё»

Задача 30043 Выразить log 120 по основанию 250 если...

Условие

Выразить log 120 по основанию 250 если log 9=20=a lg2=в

математика 10-11 класс 4426

Решение

Все решения

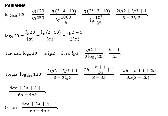
Применяем формулу перехода к другому основанию:

log_(250)(120)=lg(120)/lg(250)=lg(3*4*10)/lg(25*10)=

=(lg3+lg4+lg10)/(lg25 + lg10)=

=(lg3+2lg2+1)/(2lg5+1)=

=(lg3+2lg2+1)/(2lg(10/2)+1))=

=(lg3+2lg2+1)/(2lg10-2lg2+1)=

=(lg3+2lg2+1)/(3-2lg2)

Осталось найти lg3

Для этого преобразуем
log_(9)20=lg(20)/lg9=lg(2*10)/lg3^2)=(lg2+lg10)/(2lg3)=(lg2+1)/2lg3

Так как
log_(9)20=а

(lg2+1)/2lg3 =а

lg3=(b+1)/2a

О т в е т. (lg3+2lg2+1)/(3-2lg2)=((b+1)/2a)+2b+1) /(3-2b) =

=(b+1+4ab+2a)/(2a*(3-2b))

Написать комментарий

Меню

Присоединяйся в ВК