Задать свой вопрос
*более 50 000 пользователей получили ответ на «Решим всё»
Задача 30032
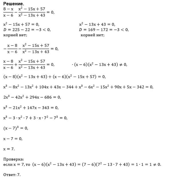
8-х/х-6-х^2-15х+57/х^2-13х+43=0 срочно...
Условие
89501103484
2018-10-07 14:26:32
8-х/х-6-х^2-15х+57/х^2-13х+43=0 срочно пожалуйста помогите решить , буду очень благодарна
математика 10-11 класс
1945
Все решения
u821511235
2018-10-07 19:15:13
Написать комментарий
Меню
Решим всё
Найти задачу
Категории
Статьи
Тесты
Архив задач
Присоединяйся в ВК