Задать свой вопрос   *более 50 000 пользователей получили ответ на «Решим всё»

Задача 30030 4/х^2-10х+25-1/25-х^2-1/х+5=0 помогите...

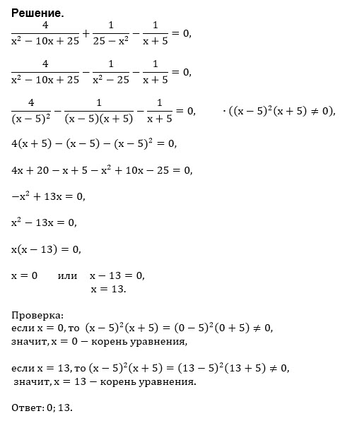
Условие

4/х^2-10х+25-1/25-х^2-1/х+5=0 помогите решить пожалуйста заранее спасибо большое буду очень благодарна

математика 10-11 класс 4522

Все решения

Написать комментарий

Меню

Присоединяйся в ВК