Задать свой вопрос   *более 50 000 пользователей получили ответ на «Решим всё»

Задача 30024 Помогите решить срочно пожалуйста , буду...

Условие

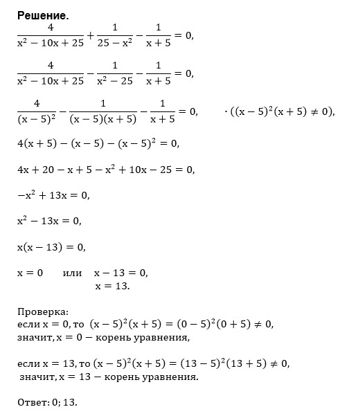
Помогите решить срочно пожалуйста , буду благодарна
1)4/х^2-10х+25+1/25-х^2-1/х+5=0 ответ будет х1=0 х2=13

математика 10-11 класс 1126

Все решения

Написать комментарий

Меню

Присоединяйся в ВК