Задать свой вопрос
*более 50 000 пользователей получили ответ на «Решим всё»
Задача 30008
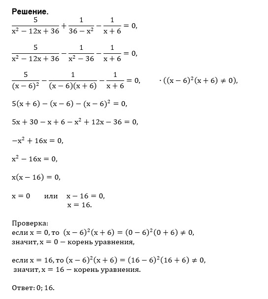
5/х^2-12х+36+1/36-х^2-1/х+6=0 срочно...
Условие
89501103484
2018-10-06 17:40:42
5/х^2-12х+36+1/36-х^2-1/х+6=0 срочно заранее спасибо большое
математика 10-11 класс
2764
Все решения
u821511235
2018-10-06 21:43:33
Написать комментарий
Меню
Решим всё
Найти задачу
Категории
Статьи
Тесты
Архив задач
Присоединяйся в ВК