Задать свой вопрос
*более 50 000 пользователей получили ответ на «Решим всё»
Задача 29974
Помогите решить срочно...
Условие
89501103484
2018-10-06 12:06:17
Помогите решить срочно
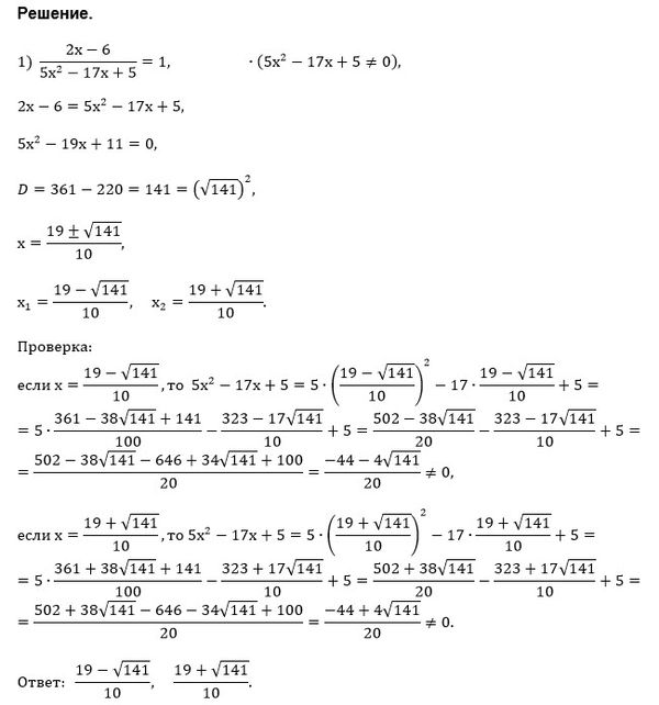
1)2х-6/5х^2-17х+5=1
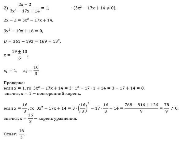
2)2х-2/3х^2-17х+14=1
математика 10-11 класс
1223
Все решения
u821511235
2018-10-06 16:06:17
Написать комментарий
Меню
Решим всё
Найти задачу
Категории
Статьи
Тесты
Архив задач
Присоединяйся в ВК