Задать свой вопрос   *более 50 000 пользователей получили ответ на «Решим всё»

Задача 2995 Частица движется с постоянной по модулю...

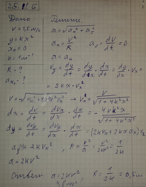
Условие

Частица движется с постоянной по модулю скоростью v=1,5 м/c по плоской траектории y=kx^2. Найти ускорение частицы в точке x0=0 и радиус кривизны R траектории в этой точке, k=1 м^(-1)

физика ВУЗ 4568

Решение



Ответ: a=kv^2=4,5 м/c^2, R=1/2k=0.5 м

Написать комментарий

Меню

Присоединяйся в ВК