Задать свой вопрос   *более 50 000 пользователей получили ответ на «Решим всё»

Задача 29921 Найдите область определения выражения:...

Условие

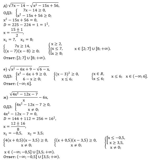
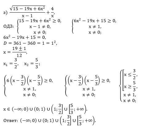
Найдите область определения выражения: а) sqrt(x) + sqrt(4-x^2); б) sqrt(x+1) + sqrt(3x-x^2); в) (2)/(x) + sqrt(x^2-5x+6); г) (12)/(x-18) - sqrt(x^2-7x+6); д) sqrt(7x-14) - sqrt(x^2-15x+56); е) sqrt(x^2-6x+9) - sqrt(6-x); ж) (sqrt(4x^2-12x-7))/(x) - 6x; з) (sqrt(15-19x+6x^2))/(x-1) + (4)/(x).

математика 8-9 класс 4067

Решение

Написать комментарий

Меню

Присоединяйся в ВК