Задать свой вопрос
*более 50 000 пользователей получили ответ на «Решим всё»
Задача 29915
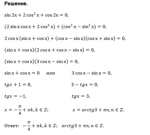
sin2x+2cos^2x+cos2x=0...
Условие
vk427649983
2018-10-02 14:01:07
sin2x+2cos^2x+cos2x=0
предмет не задан
6441
Все решения
u821511235
2018-10-02 14:24:35
Написать комментарий
Меню
Решим всё
Найти задачу
Категории
Статьи
Тесты
Архив задач
Присоединяйся в ВК