Задать свой вопрос   *более 50 000 пользователей получили ответ на «Решим всё»

Задача 29873 Найдите область определения функции,...

Условие

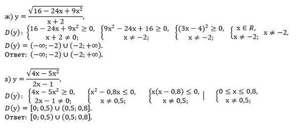
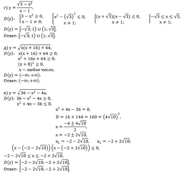
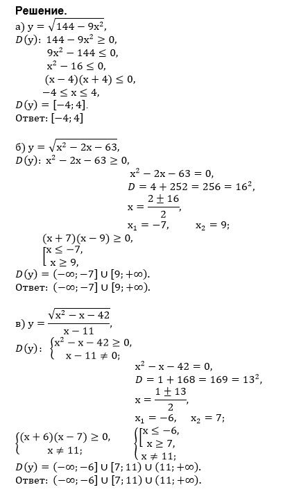
Найдите область определения функции, заданной формулой: а) y= sqrt(144-9x^2); б) y= sqrt( x^2-2x-63); в) y= sqrt(x^2-x-42)/(x-11); г) y= sqrt(3-x^2)/(x-1);д) y= sqrt(x(x+16)+64); е) y= sqrt(36-x^2-4x); ж) y= sqrt(16-24x+9x^2)/(x+2); з) y= sqrt(4x-5x^2)/(2x-1).

математика 8-9 класс 9080

Решение

Написать комментарий

Меню

Присоединяйся в ВК