Задать свой вопрос
*более 50 000 пользователей получили ответ на «Решим всё»
Задача 29863
Найдите значение выражения...
Условие
slava191
2018-09-28 19:59:23
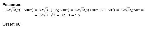
Найдите значение выражения -32sqrt(3)tg(-600°). [v13-9]
математика 10-11 класс
15746
Решение
u821511235
2018-09-29 13:27:09
★
Написать комментарий
Категория
ЕГЭ по Математике (проф.)
задание 9 (вычислить)
Меню
Решим всё
Найти задачу
Категории
Статьи
Тесты
Архив задач
Присоединяйся в ВК