Задать свой вопрос
*более 50 000 пользователей получили ответ на «Решим всё»
Задача 29822
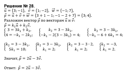
Помогите пожалуйста решить 28 номер...
Условие
vk211220904
2018-09-26 23:01:15
Помогите пожалуйста решить 28 номер
предмет не задан
654
Все решения
u821511235
2018-09-27 09:27:50
Написать комментарий
Меню
Решим всё
Найти задачу
Категории
Статьи
Тесты
Архив задач
Присоединяйся в ВК