Задать свой вопрос
*более 50 000 пользователей получили ответ на «Решим всё»
Задача 29809
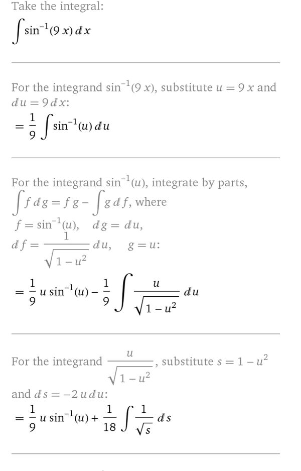
Найти интеграл arcsin9xdx...
Условие
vk68639075
2018-09-26 11:20:45
Найти интеграл arcsin9xdx
математика ВУЗ
912
Все решения
slava191
2018-09-26 16:16:28
Написать комментарий
Меню
Решим всё
Найти задачу
Категории
Статьи
Тесты
Архив задач
Присоединяйся в ВК