Задать свой вопрос
*более 50 000 пользователей получили ответ на «Решим всё»
Задача 29807
...
Условие
mystafaeva7171
2018-09-26 06:33:21
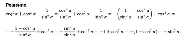
ctg в квадрате α +cos в квадрате α -1/sin в квадрате α
математика 10-11 класс
1286
Все решения
u821511235
2018-09-26 07:25:46
Написать комментарий
Меню
Решим всё
Найти задачу
Категории
Статьи
Тесты
Архив задач
Присоединяйся в ВК