Задать свой вопрос
*более 50 000 пользователей получили ответ на «Решим всё»
Задача 29784
...
Условие
slava191
2018-09-24 20:43:55
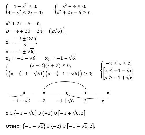
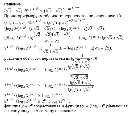
(sqrt(3)-sqrt(2))^((log34)^(4-x^2)) ≤ (sqrt(3)+sqrt(2))^(-(log32)^(2x-1)) [7.60]
математика 10-11 класс
1173
Решение
u821511235
2018-10-01 17:50:46
★
Написать комментарий
Категория
ЕГЭ по Математике (проф.)
задание 15 (неравенство)
Меню
Решим всё
Найти задачу
Категории
Статьи
Тесты
Архив задач
Присоединяйся в ВК