Задать свой вопрос
*более 50 000 пользователей получили ответ на «Решим всё»
Задача 29730
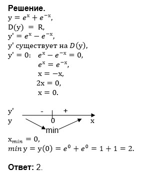
исследуйте на экстремум функцию:...
Условие
vk373191695
2018-09-21 07:08:38
исследуйте на экстремум функцию: е^х+е^-х
предмет не задан
2067
Все решения
u821511235
2018-09-21 14:30:26
Написать комментарий
Меню
Решим всё
Найти задачу
Категории
Статьи
Тесты
Архив задач
Присоединяйся в ВК