{2x>0 ⇒ x > 0
{2x ≠ 1 ⇒ x ≠ 1/2
{16x^3 >0 ⇒ x >0
{log_(2x)16x^3 ≥ 0 ⇒метод рационализации логарифмических неравенств: log_(2x)16x^3 ≥ log_(2x)1 ⇒ (2x-1)*(16x^3-1) ≥0⇒x ≤ 1/∛16 или x ≥ 1/2
ОДЗ: x ∈ (0; 1/∛16] U(1/2; ∞ )
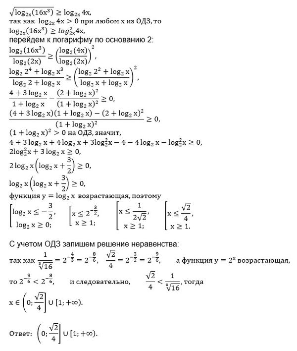
Применяем формулу перехода к другому основанию.
log_(2x)4x=(log_(2)4x)/(log_(2)2x)=
=(log_(2)4+ log_(2)x)/(log_(2)2+ log_(2)x)=
=(2+ log_(2)x)/(1+ log_(2)x)
log_(2x)16x^3=(log_(2)16x^3)/(log_(2)2x)=
=(log_(2)16 +log_(2)x^3)/(log_(2)2+ log_(2)x)=
=(4+3log_(2)x)/(1+ log_(2)x)
Введем новую переменную:
log_(2)x=t
Неравенство принимает вид:
(2+ t)/(1+ t) ≤ sqrt((4+3t)/(1+ t))
[b]1 случай[/b]:
Если (2+ t)/(1+ t) <0 ⇒ неравенство верно при всех t, для которых: (4+3t)/(1+ t) ≥ 0
Решаем систему неравенств:
{(2+t)/(1+ t) <0
{(4+3t)/(1+ t) ≥ 0
которая равносильна совокупности систем
1)
{1+ t >0 ⇒ t > -1
{2+ t <0 ⇒ t < -2
{4+ 3t ≥ 0
Система не имеет решений.
Множества t<-2 и t > -1 не имеют общих точек
ИЛИ
2)
{1+ t < 0 ⇒ t < -1
{2+ t > 0 ⇒ t > -2
{4+ 3t ≤ 0 ⇒ t ≤ -4/3
-2 < t ≤ - 4/3
Обратный переход
-2 < log_(2)x ≤ -4/3
log_(2) (1/4) < log_(2)x ≤log_(2)(1/∛16)
о т в е т в первом случае
[b] (1/4; 1/∛16] [/b]
[b]2 случай[/b].
Если (2+ t)/(1+ t) ≥ 0
Возводим обе части неравенства
(2+ t)/(1+ t) ≤ sqrt((4+3t)/(1+ t))
в квадрат
{((2+ t)^2-(4+3t)*(1+ t))/(1+ t)^2 ≤ 0
{(2+t)/(1+t) ≥ 0 ⇒ t ≤ -2 или t > -1
{t*(2t+ 3)/(1+ t)^2 ≥ 0
{ t ≤ -2 или t > -1
{t ≤ -3/2 или t ≥ 0
{ t ≤ -2 или t > -1
Обратный переход
log_(2)x ≤ -2 или log_(2)x ≥ 0
log_(2)x ≤ log_(2)2^(-2) или log_(2)x ≥ log_(2)1
Основание 2 логарифмической функции больше 1, значит функция возрастает
x ≤ 1/4 или x ≥ 1
С учетом ОДЗ получаем
о т в е т во втором случае
[b](0;1/4] U [1;+∞)[/b]
Объединение ответов первого и второго случаев даст
О т в е т. [b](0;1/∛16] U[1; ∞)[/b]
