Задать свой вопрос
*более 50 000 пользователей получили ответ на «Решим всё»
Задача 29706
...
Условие
slava191
2018-09-19 21:34:12
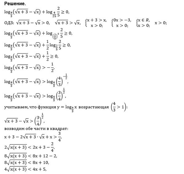
log(4/3)(sqrt(x+3)-sqrt(x))+log(4/25)(2/5) ≥ 0 [7.33]
математика 10-11 класс
1689
Решение
u821511235
2018-09-20 00:53:24
★
Написать комментарий
Категория
ЕГЭ по Математике (проф.)
задание 15 (неравенство)
Меню
Решим всё
Найти задачу
Категории
Статьи
Тесты
Архив задач
Присоединяйся в ВК