Задать свой вопрос
*более 50 000 пользователей получили ответ на «Решим всё»
Задача 29670
Найдите значение выражения...
Условие
slava191
2018-09-18 00:33:17
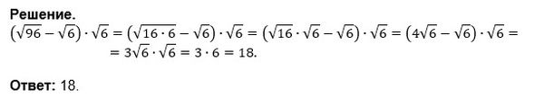
Найдите значение выражения (sqrt(96)-sqrt(6))*sqrt(6) [v2-9]
математика 10-11 класс
4777
Решение
u821511235
2018-09-18 07:16:44
★
Написать комментарий
Категория
ЕГЭ по Математике (проф.)
задание 9 (вычислить)
Меню
Решим всё
Найти задачу
Категории
Статьи
Тесты
Архив задач
Присоединяйся в ВК