Задать свой вопрос   *более 50 000 пользователей получили ответ на «Решим всё»

Задача 29624 Вершины К и L квадрата KLMN с центром О...

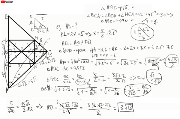
Условие

Вершины К и L квадрата KLMN с центром О лежат на стороне АВ треугольника АВС, а вершины М и N — на сторонах ВС и АС соответственно. Высота СН треугольника АВС проходит через точку О и пересекает отрезок MN в точке D, причём CD = DO = ОН.

а) Докажите, что треугольник АВС равнобедренный и прямоугольный.

б) Пусть прямая AD пересекает сторону ВС в точке Q. Найдите AQ, если сторона квадрата KL = 5. [v1-16]

математика 10-11 класс 6858

Решение

Есть видео в ютубе с подробным объяснением:

Написать комментарий

Меню

Присоединяйся в ВК