Задать свой вопрос
*более 50 000 пользователей получили ответ на «Решим всё»
Задача 29609
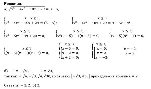
а) Решить уравнение...
Условие
vk318474530
2018-09-14 17:45:27
а) Решить уравнение sqrt(x^3-4x^2-10x+29) = 3-x,
б) Отбор корней [-sqrt(3); sqrt(30)]
математика 10-11 класс
50317
Решение
u821511235
2018-09-14 20:54:50
★
Написать комментарий
Категория
ЕГЭ по Математике (проф.)
задание 13 (уравнение, отбор корней)
Меню
Решим всё
Найти задачу
Категории
Статьи
Тесты
Архив задач
Присоединяйся в ВК