Задать свой вопрос   *более 50 000 пользователей получили ответ на «Решим всё»

Задача 29594 ...

Условие

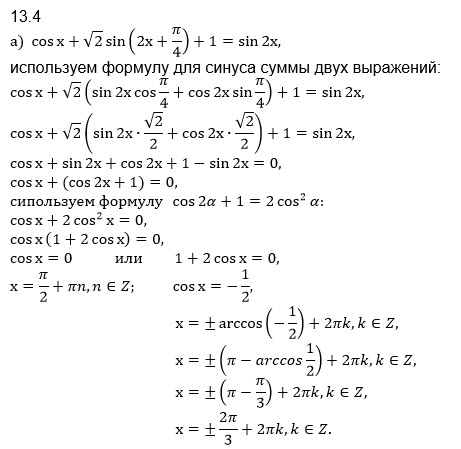
13.4 cos x + √2 sin ( 2x + π/4 ) + 1 = sin 2x [ -11π/2 ; -4π ]

13.5 sin x + 2 sin ( 2x + π/6 ) = √3 sin 2x + 1 [ -7π/2 ; -2π ]

математика 10-11 класс 851

Решение

Написать комментарий

Меню

Присоединяйся в ВК