Задать свой вопрос
*более 50 000 пользователей получили ответ на «Решим всё»
Задача 29583
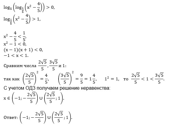
(0,3)^(log5(log(1/5)(x^2-4/5))) < 1...
Условие
slava191
2018-09-11 17:53:30
(0,3)^(log5(log(1/5)(x^2-4/5))) < 1 [7.15]
математика 10-11 класс
1733
Решение
u821511235
2018-09-12 08:30:32
★
Написать комментарий
Категория
ЕГЭ по Математике (проф.)
задание 15 (неравенство)
Меню
Решим всё
Найти задачу
Категории
Статьи
Тесты
Архив задач
Присоединяйся в ВК