Задать свой вопрос   *более 50 000 пользователей получили ответ на «Решим всё»

Задача 29549 В равнобедренном треугольнике АВС с...

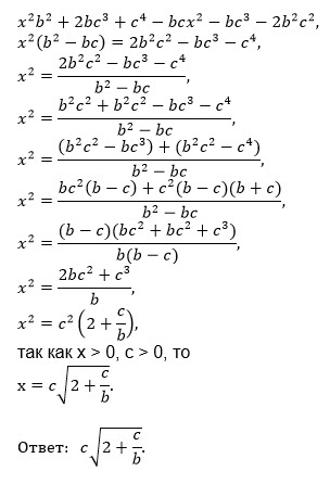
Условие

В равнобедренном треугольнике АВС с основанием АС проведена биссектриса AL. Найдите AL, если BL = b и CL = с. [9.52]

математика 10-11 класс 3718

Решение

Написать комментарий

Меню

Присоединяйся в ВК