Задать свой вопрос
*более 50 000 пользователей получили ответ на «Решим всё»
Задача 29488
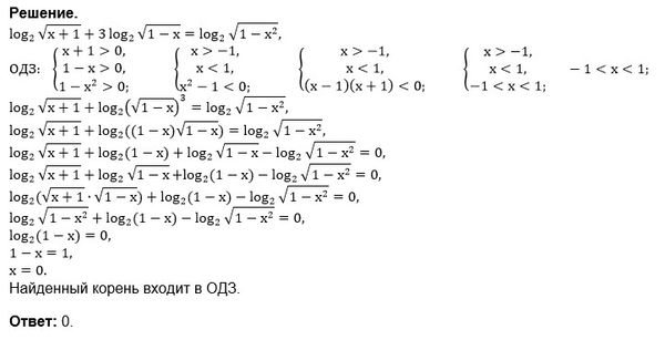
6.26) log2sqrt(x+1)+3log2sqrt(1-x) =...
Условие
slava191
2018-09-07 00:09:44
6.26) log2sqrt(x+1)+3log2sqrt(1-x) = log2sqrt(1-x^2)
математика 10-11 класс
1243
Решение
u821511235
2018-09-07 12:17:43
★
Написать комментарий
Меню
Решим всё
Найти задачу
Категории
Статьи
Тесты
Архив задач
Присоединяйся в ВК