Задать свой вопрос
*более 50 000 пользователей получили ответ на «Решим всё»
Задача 29321
...
Условие
slava191
2018-08-18 22:05:13
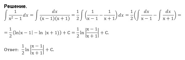
∫ 1/(x^2-1) dx
математика ВУЗ
637
Решение
u821511235
2018-08-18 23:02:32
★
Написать комментарий
Меню
Решим всё
Найти задачу
Категории
Статьи
Тесты
Архив задач
Присоединяйся в ВК