Задать свой вопрос
*более 50 000 пользователей получили ответ на «Решим всё»
Задача 29318
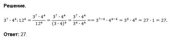
3^7*4^4:12^4...
Условие
u3116317114
18.08.2018
3^7*4^4:12^4
предмет не задан
1072
Все решения
u821511235
2018-08-21 10:27:59
vk318474530
2018-08-19 15:13:11
12^4 = (3*4)^4 = 3^4*3^4, тогда будет верно 3^(7-4)*4^(4-4) = 3^3 = 27
Написать комментарий
Меню
Решим всё
Найти задачу
Категории
Статьи
Тесты
Архив задач
Присоединяйся в ВК