Задать свой вопрос   *более 50 000 пользователей получили ответ на «Решим всё»

Задача 29287 Помогите вычислить 12 интегралов (на...

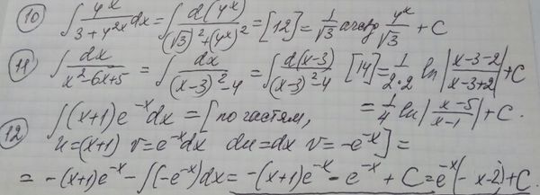
Условие

Помогите вычислить 12 интегралов (на скриншоте)

математика ВУЗ 1934

Решение

Применяем метод подведения под дифференциал.
(См. метод замены переменной)
В квадратных скобках номер формулы из таблицы интегралов. См. рис. 1
Решение - скриншот cм. рис.2 и рис.3

Написать комментарий

Меню

Присоединяйся в ВК