Задать свой вопрос   *более 50 000 пользователей получили ответ на «Решим всё»

Задача 29285 Найдите область определения функции:...

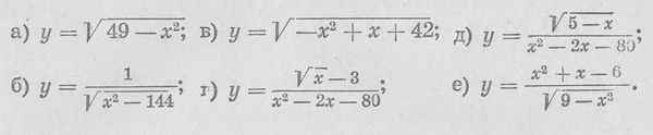
Условие

Найдите область определения функции:

математика 8-9 класс 874

Решение

Чтобы найти ОДЗ надо значть, что
1)подкоренное выражение должно быть больше или равно 0.
2)знаменатель дроби не может равняться 0

Применяя эти условия составляем неравенства, им соответствующие.

а)
49- x^2 больше или равно 0
(7--x)(7+x) больше или равно 0
(x-7)(x+7) меньше или равно 0
___ [-7] _-__ [7]
О т в е т. D(y)=[-7;7]

б) Подкоренное выражение неотрицательно И знаменатель дроби не равен 0, оба условия должны выполняться одновременно.
Система
{x^2-12^2 больше или равно 0
{sqrt(x^2-12^2) ≠0 ⇒ x^2-12^2≠0
Поэтому область определения определяется неравенством:
x^2-12^2 > 0
(x-12)(x+12) > 0
__+__ (-12) ____ (12) _+__
О т в е т.
D(y)= (- бесконечность;-12) U(12;+бесконечность)

в)
-x^2+x+42 больше или равно 0
x^2-x-42 меньше или равно 0
D=1-4*(-42)=1+168=169
x_(1)=(1-13)/2=-6; x_(2)=(1+13)/2=7
___ [-6] __-__ [7] ____
О т в е т. D(y)=[-6;7]

г)Два условия, подкоренное выражение неотрицательно и знаменатель отличен от 0 должны выполняться одновременно.
Система:
{x больше или равно 0
{x^2-2x-80 ≠ 0

D=4+4*(-80)=324=18^2;
x_(1)=(2-18)/2=-8; x_(2)=(2+18)/2=10;

{xбольше или равно 0
{x ≠ -8; x ≠ 10

[0] _____(10) ____

О т в е т.D(y)= [0;10)U(10;+ бесконечность)

д)
Два условия, подкоренное выражение неотрицательно и знаменатель отличен от 0 должны выполняться одновременно.
Система:
{5-x больше или равно 0
{x^2-2x-80 ≠ 0

см. г)
D=4+4*(-80)=324=18^2;
x_(1)=(2-18)/2=-8; x_(2)=(2+18)/2=10;

{x меньше или равно 5
{x ≠ -8; x ≠ 10

___ (-8) _____[5]

О т в е т. D(y)=(- бесконечность;-8)U(-8;5]

е)
9-x^2 > 0 ( см. объяснение в пункте б)
(x-3)(x+3) < 0
___ (-3) __-__ (3) ___
О т в е т. D(y)=(-3;3)

Написать комментарий

Меню

Присоединяйся в ВК