Задать свой вопрос
*более 50 000 пользователей получили ответ на «Решим всё»
Задача 29279
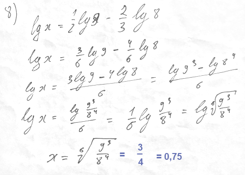
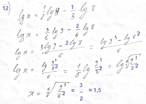
8 и 12...
Условие
u17845868
10.08.2018
8 и 12
математика 10-11 класс
957
Все решения
slava191
10.08.2018
8 и 12
u821511235
10.08.2018
Написать комментарий
Меню
Решим всё
Найти задачу
Категории
Статьи
Тесты
Архив задач
Присоединяйся в ВК