Задать свой вопрос   *более 50 000 пользователей получили ответ на «Решим всё»

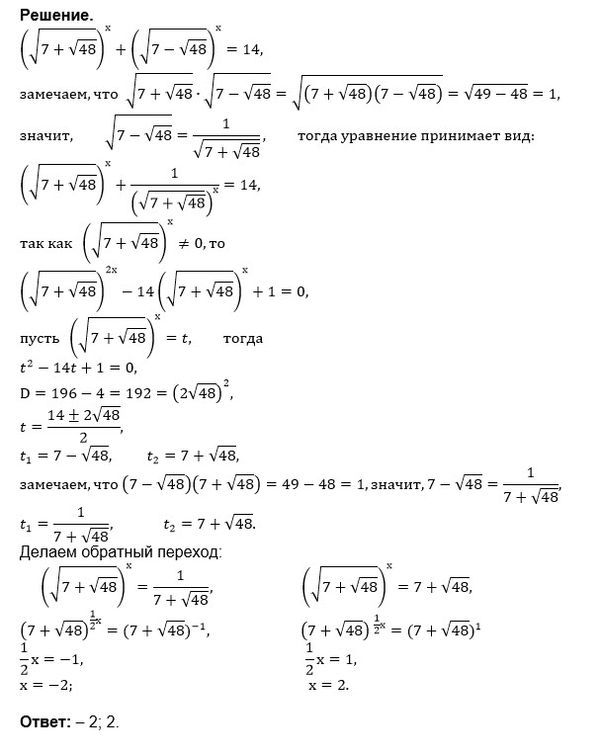
Задача 29249 корень квадратный из 7+корень квадратный...

Условие

корень квадратный из 7+корень квадратный из 48 и все в степени х прибавить аналогичную разность в степени х =14

предмет не задан 2988

Все решения

Написать комментарий

Меню

Присоединяйся в ВК