Задать свой вопрос   *более 50 000 пользователей получили ответ на «Решим всё»

Задача 29207 Решите уравнение: а)...

Условие

Решите уравнение: а) ((35x)/(4+10x-6x^2)) - ((x+2)/(3x+1))+((3x-1)/(x-2)).
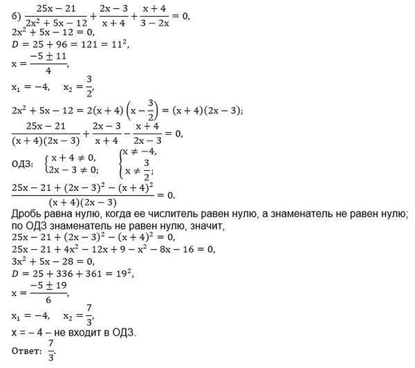
б) ((25x-21)/(2x^2+5x-12)) + ((2x-3)/(x+4)) +((x+4)/(3-2x)).
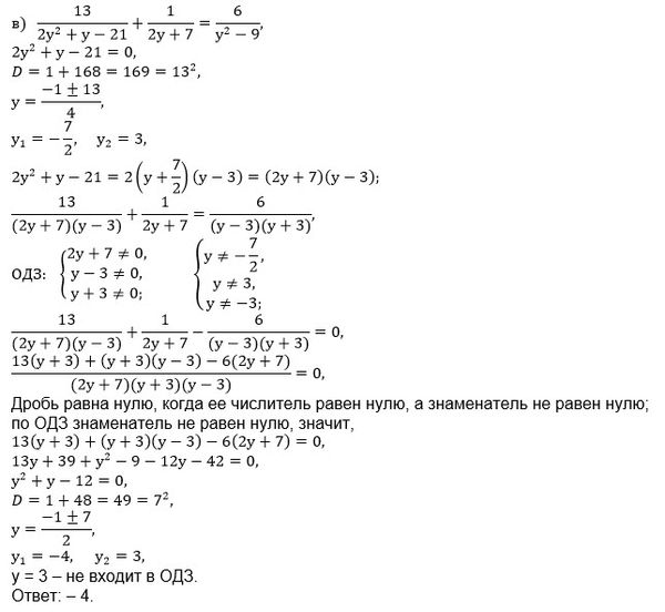
в) ((13)/(2y^2+y-21))+ ((1)/(2y+7))= (6)/(y^2-9).
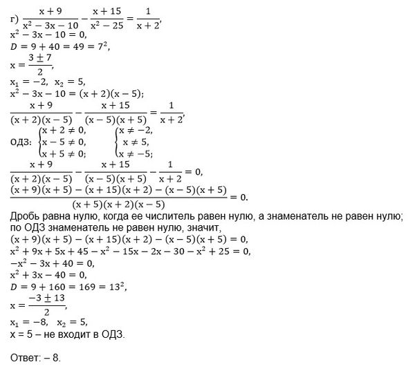
г) ((x+9)/x^2-3x-10)) - ((x+15)/(x^2-25))=(1)/(x+2).

математика 8-9 класс 2623

Решение

Написать комментарий

Меню

Присоединяйся в ВК