Задать свой вопрос   *более 50 000 пользователей получили ответ на «Решим всё»

Задача 29206 Сократите дробь: а)...

Условие

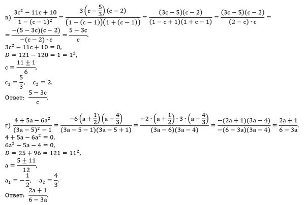
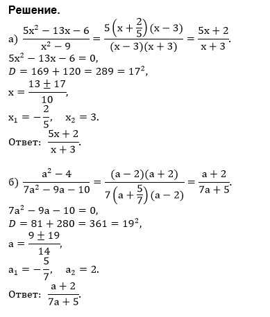
Сократите дробь: а) (5x^2-13x-6)/(x^2-9); б) (a^2-4)/(7a^2-9a-10); в) (3c^2-11c+10)/(1-(c-1)^2); г) (4+5a-6a^20)/((3a-5)^2-1).

математика 8-9 класс 3353

Решение

Написать комментарий

Меню

Присоединяйся в ВК