Задать свой вопрос
*более 50 000 пользователей получили ответ на «Решим всё»
Задача 29204
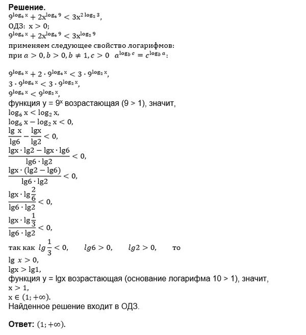
9^(log6x) + 2x^(log6 9) < 3*x^(2log2 3)...
Условие
u18517135116
04.08.2018
9^(log6x) + 2x^(log6 9) < 3*x^(2log2 3)
предмет не задан
924
Все решения
u821511235
04.08.2018
Написать комментарий
Категория
ЕГЭ по Математике (проф.)
задание 15 (неравенство)
Меню
Решим всё
Найти задачу
Категории
Статьи
Тесты
Архив задач
Присоединяйся в ВК