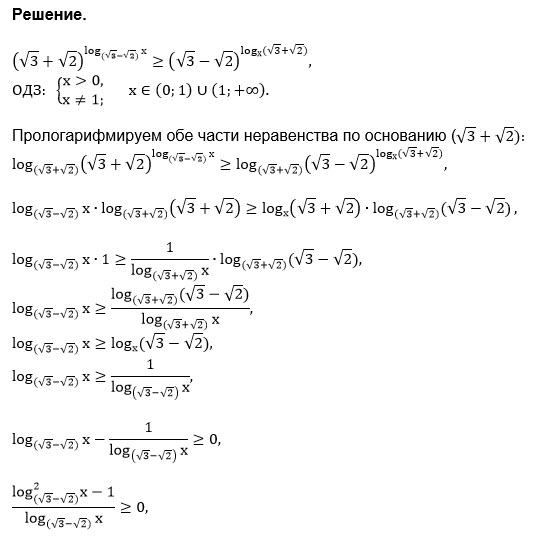
(sqrt(3)+sqrt(2))^(log((sqrt(3)-sqrt(2))) x) больше или равно (sqrt(3)-sqrt(2))^(log(x)(sqrt(3)+sqrt(2)))
{x > 0
{x ≠1
Так как (sqrt(3)+sqrt(2))*(sqrt(3)-sqrt(2))=1,
то
(sqrt(3)-sqrt(2))=1/(sqrt(3)+sqrt(2))=(sqrt(3)+sqrt(2))^(-1)
Неравенство можно записать в виде:
(sqrt(3)+sqrt(2))^(log_(sqrt(3)-sqrt(2))x) больше или равно ((sqrt(3)+sqrt(2))^(-1))^(log_(x)sqrt(3)+sqrt(2))
или
(sqrt(3)+sqrt(2))^(log_(sqrt(3)-sqrt(2))x больше или равно (sqrt(3)+sqrt(2))^(-log_(x)(sqrt(3)+sqrt(2))
Основание показательной функции
(sqrt(3)+sqrt(2)) > 1, функция возрастает, поэтому
log_(sqrt(3)-sqrt(2))x больше или равно -log_(x)sqrt(3)+sqrt(2))
log_(sqrt(3)-sqrt(2))x больше или равно log_(x)(sqrt(3)+sqrt(2))^(-1)
log_(sqrt(3)-sqrt(2))x больше или равно log_(x)(sqrt(3)-sqrt(2))
Пусть t=log_(sqrt(3)-sqrt(2))x
Решаем неравенство:
t больше или равно 1/t
(t-1)(t+1)/t больше или равно 0
-1 меньше или равно t < 0 или t больше или равно 1
Обратная замена
-1 меньше или равно log_(sqrt(3)-sqrt(2))x < 0 или log_(sqrt(3)-sqrt(2))x больше или равно 1
Логарифмическая функция с основанием (sqrt(3)-sqrt(2)) убывающая.
Поэтому с учетом ОДЗ
0 < x меньше или равно sqrt(3)-sqrt(2) или 1 < x меньше или равно sqrt(3)+sqrt(2)
О т в е т. (0;sqrt(3)-sqrt(2)]U(1;sqrt(3)+sqrt(2)]
