x_(1)=(-p - sqrt(D))/2 или x_(2)=(-p + sqrt(D))/2
тогда x_(2)-x_(1)= 2sqrt(D)/2=sqrt(D)
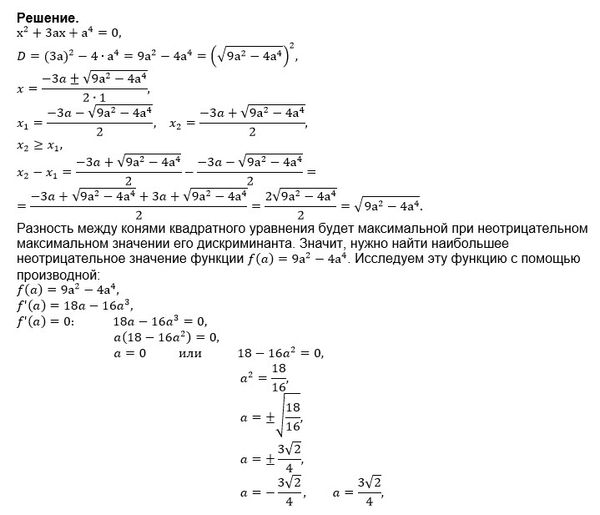
В условиях задачи
D=D(a)= (3a)^2-4*a^4=9a^2-4a^4
9a^2-4a^4 > 0 на (- sqrt(3/2);sqrt(3/2))
_-_ ( - sqrt(3/2)) __+__ (0) __+____ (sqrt(3/2)) __-_
[b] x_(2)-x_(1)=sqrt(9a^2-4a^4) [/b]
Можно и так найти разность корней ( 2 способ):
Если D=D(a)=a^2*(9a^2-4a^4) > 0, то применима теорема Виета
{x_(1)+x_(2)=-3a
{x_(1)*x_(2)=a^4
Возводим в квадрат первое равенство
x_(1)^2+2x_(1)*x_(2)+x^2_(2)=9a^2
Прибавим к обеим частям равенства (-4х_(1)х_(2)):
x_(1)^2+2x_(1)*x_(2)+x^2_(2)-4x_(1)x_(2)=9a^2 -4x_(1)x_(2)
x_(1)^2-2x_(1)*x_(2)+x^2_(2)=9a^2 -4x_(1)x_(2)
получим квадрат разности корней:
(x_(2)-x_(1))^2=9a^2-4a^4
|x_(2)-x_(1)|=sqrt(9a^2-4a^4)
Cчитая, x_(2) > x_(1)
[b]x_(2)-x_(1)=sqrt(9a^2-4a^4) [/b]
Значение разности корней максимально, когда значение sqrt(9a^2-4a^4) максимально, когда D(a)=9a^2-4a^4 максимально.
Исследуем функция D(a) с применением производной на (-sqrt(3/2); sqrt(3/2))
D`(a)=18a-16a^3
D`(a)=0
a*(9-8a^2)=0
a=0 или a^2=9/8
a=0 или a= ±sqrt(9/8) - найденные точки принадлежат (-sqrt(3/2); sqrt(3/2), так как
sqrt(3/2) > sqrt(9/8), так как sqrt(12/8) > sqrt(9/8)
и
-sqrt(3/2) < sqrt(9/8)
(-sqrt)3/2) ___+__ (-sqrt(9/8)) __-___ (0) ___+____ (sqrt(9/8) ____-___(sqrt(3/2)
a= ±sqrt(9/8) - точки максимума, производная меняет знак с + на -
a=±(3/4)sqrt(2)
О т в е т. ±(3/4)sqrt(2)
