Задать свой вопрос
*более 50 000 пользователей получили ответ на «Решим всё»
Задача 29176
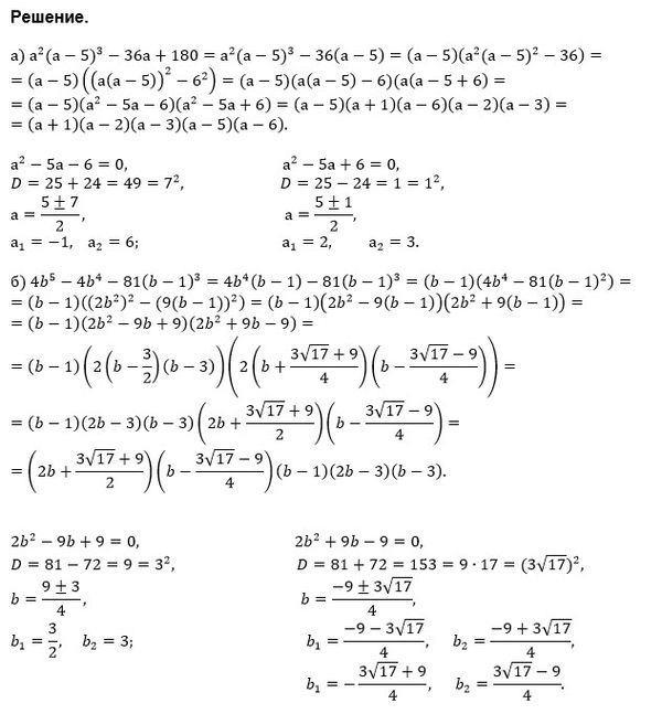
Разложите на множители: а)...
Условие
u4614714047
02.08.2018
Разложите на множители: а) a^2(a-5)^3-36a+180=0;
б) 4b^5-4b^4-81(b-1)^3=0.
математика 8-9 класс
1614
Решение
u821511235
03.08.2018
★
Все решения
SOVA
02.08.2018
.
Написать комментарий
Меню
Решим всё
Найти задачу
Категории
Статьи
Тесты
Архив задач
Присоединяйся в ВК